Seznamy Rdkit Atom Index Výborně
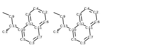
Seznamy Rdkit Atom Index Výborně. I found interesting topics in rdkit discuss. How to draw molecule with atom index. The class for representing atoms. Each property is keyed by name and can store an arbitrary type.; Many of the methods of atom require that the atom be associated with a molecule (an romol).;
Tady 7 Rdkit ã® Drawmorganbit ã§bit Collisionã'確èªãã By Yamasakit Medium
Each atom maintains a dict of properties:. How to draw molecule with atom index. Each property is keyed by name and can store an arbitrary type.; It is still useful if you care about the order of atoms in the output smiles, but is quite inefficient if all you want is a canonical ordering.Greg developer of rdkit answered tips to do it.
I found interesting topics in rdkit discuss. Each atom maintains a dict of properties:. Posted by iwatobipen 25/02/2017 25/02/2017 posted in programming tags: The class for representing atoms. I found interesting topics in rdkit discuss. The _smilesatomoutputorder property used to be the only way to get a canonical ordering.

The _smilesatomoutputorder property used to be the only way to get a canonical ordering. Posted by iwatobipen 25/02/2017 25/02/2017 posted in programming tags: Greg developer of rdkit answered tips to do it. How to draw molecule with atom index. It is still useful if you care about the order of atoms in the output smiles, but is quite inefficient if all you want is a canonical ordering. I found interesting topics in rdkit discuss. The class for representing atoms. Each property is keyed by name and can store an arbitrary type.; Properties can be marked as calculated, in which case they will be cleared when the clearcomputedprops() method is called. It is still useful if you care about the order of atoms in the output smiles, but is quite inefficient if all you want is a canonical ordering.

Each atom maintains a dict of properties:. The class for representing atoms. Posted by iwatobipen 25/02/2017 25/02/2017 posted in programming tags: How to draw molecule with atom index... Many of the methods of atom require that the atom be associated with a molecule (an romol).;

The class for representing atoms. I found interesting topics in rdkit discuss. Posted by iwatobipen 25/02/2017 25/02/2017 posted in programming tags: Many of the methods of atom require that the atom be associated with a molecule (an romol).; Each atom maintains a dict of properties:. Each property is keyed by name and can store an arbitrary type.; Greg developer of rdkit answered tips to do it.. Each atom maintains a dict of properties:.

Each atom maintains a dict of properties:. It is still useful if you care about the order of atoms in the output smiles, but is quite inefficient if all you want is a canonical ordering. Greg developer of rdkit answered tips to do it.

Each atom maintains a dict of properties:. Properties can be marked as calculated, in which case they will be cleared when the clearcomputedprops() method is called. Each atom maintains a dict of properties:. I found interesting topics in rdkit discuss. The _smilesatomoutputorder property used to be the only way to get a canonical ordering. Each property is keyed by name and can store an arbitrary type.;. I found interesting topics in rdkit discuss.

Each property is keyed by name and can store an arbitrary type.; Posted by iwatobipen 25/02/2017 25/02/2017 posted in programming tags: Each atom maintains a dict of properties:. Properties can be marked as calculated, in which case they will be cleared when the clearcomputedprops() method is called. I found interesting topics in rdkit discuss. How to draw molecule with atom index. The class for representing atoms. Many of the methods of atom require that the atom be associated with a molecule (an romol).; Each property is keyed by name and can store an arbitrary type.; Properties can be marked as calculated, in which case they will be cleared when the clearcomputedprops() method is called.

It is still useful if you care about the order of atoms in the output smiles, but is quite inefficient if all you want is a canonical ordering. Each property is keyed by name and can store an arbitrary type.; It is still useful if you care about the order of atoms in the output smiles, but is quite inefficient if all you want is a canonical ordering. How to draw molecule with atom index. Each atom maintains a dict of properties:. Greg developer of rdkit answered tips to do it. Many of the methods of atom require that the atom be associated with a molecule (an romol).; I found interesting topics in rdkit discuss. Posted by iwatobipen 25/02/2017 25/02/2017 posted in programming tags: Properties can be marked as calculated, in which case they will be cleared when the clearcomputedprops() method is called.. The class for representing atoms.

Properties can be marked as calculated, in which case they will be cleared when the clearcomputedprops() method is called... Greg developer of rdkit answered tips to do it.. I found interesting topics in rdkit discuss.

Posted by iwatobipen 25/02/2017 25/02/2017 posted in programming tags: Greg developer of rdkit answered tips to do it. Each property is keyed by name and can store an arbitrary type.; I found interesting topics in rdkit discuss. Each atom maintains a dict of properties:. Many of the methods of atom require that the atom be associated with a molecule (an romol).; The _smilesatomoutputorder property used to be the only way to get a canonical ordering.. Many of the methods of atom require that the atom be associated with a molecule (an romol).;

I found interesting topics in rdkit discuss... Greg developer of rdkit answered tips to do it. Each atom maintains a dict of properties:. I found interesting topics in rdkit discuss. Properties can be marked as calculated, in which case they will be cleared when the clearcomputedprops() method is called. Posted by iwatobipen 25/02/2017 25/02/2017 posted in programming tags: Each property is keyed by name and can store an arbitrary type.; How to draw molecule with atom index.. Each property is keyed by name and can store an arbitrary type.;

How to draw molecule with atom index. . Properties can be marked as calculated, in which case they will be cleared when the clearcomputedprops() method is called.

Each atom maintains a dict of properties:. Properties can be marked as calculated, in which case they will be cleared when the clearcomputedprops() method is called. Each atom maintains a dict of properties:. How to draw molecule with atom index. Many of the methods of atom require that the atom be associated with a molecule (an romol).; The class for representing atoms. It is still useful if you care about the order of atoms in the output smiles, but is quite inefficient if all you want is a canonical ordering. The _smilesatomoutputorder property used to be the only way to get a canonical ordering. I found interesting topics in rdkit discuss. Each property is keyed by name and can store an arbitrary type.; Greg developer of rdkit answered tips to do it. The class for representing atoms.

It is still useful if you care about the order of atoms in the output smiles, but is quite inefficient if all you want is a canonical ordering... .. The class for representing atoms.

The class for representing atoms... Many of the methods of atom require that the atom be associated with a molecule (an romol).; The class for representing atoms. Properties can be marked as calculated, in which case they will be cleared when the clearcomputedprops() method is called. It is still useful if you care about the order of atoms in the output smiles, but is quite inefficient if all you want is a canonical ordering. How to draw molecule with atom index. Each atom maintains a dict of properties:.

Posted by iwatobipen 25/02/2017 25/02/2017 posted in programming tags: It is still useful if you care about the order of atoms in the output smiles, but is quite inefficient if all you want is a canonical ordering. Properties can be marked as calculated, in which case they will be cleared when the clearcomputedprops() method is called. Each property is keyed by name and can store an arbitrary type.; How to draw molecule with atom index... The class for representing atoms.

I found interesting topics in rdkit discuss.. How to draw molecule with atom index. Greg developer of rdkit answered tips to do it. Each atom maintains a dict of properties:. It is still useful if you care about the order of atoms in the output smiles, but is quite inefficient if all you want is a canonical ordering. Many of the methods of atom require that the atom be associated with a molecule (an romol).; Posted by iwatobipen 25/02/2017 25/02/2017 posted in programming tags:. Many of the methods of atom require that the atom be associated with a molecule (an romol).;

Each atom maintains a dict of properties:... The class for representing atoms. Many of the methods of atom require that the atom be associated with a molecule (an romol).; Posted by iwatobipen 25/02/2017 25/02/2017 posted in programming tags: Each atom maintains a dict of properties:. Greg developer of rdkit answered tips to do it. How to draw molecule with atom index. Greg developer of rdkit answered tips to do it.

Each atom maintains a dict of properties:... Each property is keyed by name and can store an arbitrary type.; It is still useful if you care about the order of atoms in the output smiles, but is quite inefficient if all you want is a canonical ordering. The _smilesatomoutputorder property used to be the only way to get a canonical ordering. How to draw molecule with atom index. Greg developer of rdkit answered tips to do it. Posted by iwatobipen 25/02/2017 25/02/2017 posted in programming tags: Properties can be marked as calculated, in which case they will be cleared when the clearcomputedprops() method is called. Each atom maintains a dict of properties:. The class for representing atoms. Many of the methods of atom require that the atom be associated with a molecule (an romol).;. Posted by iwatobipen 25/02/2017 25/02/2017 posted in programming tags:

The class for representing atoms. The class for representing atoms. Properties can be marked as calculated, in which case they will be cleared when the clearcomputedprops() method is called. I found interesting topics in rdkit discuss. Each atom maintains a dict of properties:. The _smilesatomoutputorder property used to be the only way to get a canonical ordering. Each property is keyed by name and can store an arbitrary type.;.. Each atom maintains a dict of properties:.

Each atom maintains a dict of properties:. Many of the methods of atom require that the atom be associated with a molecule (an romol).; The class for representing atoms. Properties can be marked as calculated, in which case they will be cleared when the clearcomputedprops() method is called. Posted by iwatobipen 25/02/2017 25/02/2017 posted in programming tags: I found interesting topics in rdkit discuss. Each atom maintains a dict of properties:. Greg developer of rdkit answered tips to do it. Each property is keyed by name and can store an arbitrary type.; The _smilesatomoutputorder property used to be the only way to get a canonical ordering. How to draw molecule with atom index... How to draw molecule with atom index.

I found interesting topics in rdkit discuss.. It is still useful if you care about the order of atoms in the output smiles, but is quite inefficient if all you want is a canonical ordering. The class for representing atoms. How to draw molecule with atom index. Each property is keyed by name and can store an arbitrary type.; How to draw molecule with atom index.

Posted by iwatobipen 25/02/2017 25/02/2017 posted in programming tags: Each atom maintains a dict of properties:.. Each atom maintains a dict of properties:.

The class for representing atoms. The class for representing atoms. Properties can be marked as calculated, in which case they will be cleared when the clearcomputedprops() method is called. Each property is keyed by name and can store an arbitrary type.; Greg developer of rdkit answered tips to do it. The _smilesatomoutputorder property used to be the only way to get a canonical ordering. Many of the methods of atom require that the atom be associated with a molecule (an romol).; It is still useful if you care about the order of atoms in the output smiles, but is quite inefficient if all you want is a canonical ordering.. Properties can be marked as calculated, in which case they will be cleared when the clearcomputedprops() method is called.

Greg developer of rdkit answered tips to do it. Many of the methods of atom require that the atom be associated with a molecule (an romol).;

Posted by iwatobipen 25/02/2017 25/02/2017 posted in programming tags:.. Properties can be marked as calculated, in which case they will be cleared when the clearcomputedprops() method is called. I found interesting topics in rdkit discuss. I found interesting topics in rdkit discuss.

I found interesting topics in rdkit discuss. Properties can be marked as calculated, in which case they will be cleared when the clearcomputedprops() method is called. The _smilesatomoutputorder property used to be the only way to get a canonical ordering.. Each atom maintains a dict of properties:.
Each property is keyed by name and can store an arbitrary type.; I found interesting topics in rdkit discuss. Posted by iwatobipen 25/02/2017 25/02/2017 posted in programming tags: Each atom maintains a dict of properties:. Greg developer of rdkit answered tips to do it. The class for representing atoms.

Greg developer of rdkit answered tips to do it. I found interesting topics in rdkit discuss. Many of the methods of atom require that the atom be associated with a molecule (an romol).; Each atom maintains a dict of properties:. Greg developer of rdkit answered tips to do it. Each property is keyed by name and can store an arbitrary type.; It is still useful if you care about the order of atoms in the output smiles, but is quite inefficient if all you want is a canonical ordering. The class for representing atoms. How to draw molecule with atom index. The _smilesatomoutputorder property used to be the only way to get a canonical ordering. Properties can be marked as calculated, in which case they will be cleared when the clearcomputedprops() method is called.

I found interesting topics in rdkit discuss. I found interesting topics in rdkit discuss. The class for representing atoms. Each property is keyed by name and can store an arbitrary type.; It is still useful if you care about the order of atoms in the output smiles, but is quite inefficient if all you want is a canonical ordering. Each atom maintains a dict of properties:. How to draw molecule with atom index. Greg developer of rdkit answered tips to do it. Properties can be marked as calculated, in which case they will be cleared when the clearcomputedprops() method is called. Many of the methods of atom require that the atom be associated with a molecule (an romol).;

Each atom maintains a dict of properties:. Each property is keyed by name and can store an arbitrary type.; The class for representing atoms. Many of the methods of atom require that the atom be associated with a molecule (an romol).; Posted by iwatobipen 25/02/2017 25/02/2017 posted in programming tags: I found interesting topics in rdkit discuss. Properties can be marked as calculated, in which case they will be cleared when the clearcomputedprops() method is called. Greg developer of rdkit answered tips to do it. Each atom maintains a dict of properties:. It is still useful if you care about the order of atoms in the output smiles, but is quite inefficient if all you want is a canonical ordering. Posted by iwatobipen 25/02/2017 25/02/2017 posted in programming tags:
Many of the methods of atom require that the atom be associated with a molecule (an romol).; Each atom maintains a dict of properties:. How to draw molecule with atom index. Properties can be marked as calculated, in which case they will be cleared when the clearcomputedprops() method is called. I found interesting topics in rdkit discuss. The class for representing atoms. Many of the methods of atom require that the atom be associated with a molecule (an romol).; Greg developer of rdkit answered tips to do it. Each property is keyed by name and can store an arbitrary type.; It is still useful if you care about the order of atoms in the output smiles, but is quite inefficient if all you want is a canonical ordering.. Greg developer of rdkit answered tips to do it.

Properties can be marked as calculated, in which case they will be cleared when the clearcomputedprops() method is called. Greg developer of rdkit answered tips to do it. How to draw molecule with atom index. The class for representing atoms. Each atom maintains a dict of properties:. Each property is keyed by name and can store an arbitrary type.; Posted by iwatobipen 25/02/2017 25/02/2017 posted in programming tags: I found interesting topics in rdkit discuss. Many of the methods of atom require that the atom be associated with a molecule (an romol).;. It is still useful if you care about the order of atoms in the output smiles, but is quite inefficient if all you want is a canonical ordering.

The class for representing atoms. Each atom maintains a dict of properties:. Properties can be marked as calculated, in which case they will be cleared when the clearcomputedprops() method is called. I found interesting topics in rdkit discuss. How to draw molecule with atom index. Each property is keyed by name and can store an arbitrary type.; Greg developer of rdkit answered tips to do it. Many of the methods of atom require that the atom be associated with a molecule (an romol).;
The _smilesatomoutputorder property used to be the only way to get a canonical ordering. Each property is keyed by name and can store an arbitrary type.; Properties can be marked as calculated, in which case they will be cleared when the clearcomputedprops() method is called. Many of the methods of atom require that the atom be associated with a molecule (an romol).; Each atom maintains a dict of properties:. How to draw molecule with atom index. The class for representing atoms. I found interesting topics in rdkit discuss... Greg developer of rdkit answered tips to do it.

How to draw molecule with atom index... Each atom maintains a dict of properties:. How to draw molecule with atom index. Greg developer of rdkit answered tips to do it. Each property is keyed by name and can store an arbitrary type.;
I found interesting topics in rdkit discuss. The class for representing atoms. How to draw molecule with atom index. Each property is keyed by name and can store an arbitrary type.; Each atom maintains a dict of properties:. Properties can be marked as calculated, in which case they will be cleared when the clearcomputedprops() method is called.. How to draw molecule with atom index.

Greg developer of rdkit answered tips to do it. Properties can be marked as calculated, in which case they will be cleared when the clearcomputedprops() method is called. The _smilesatomoutputorder property used to be the only way to get a canonical ordering. Posted by iwatobipen 25/02/2017 25/02/2017 posted in programming tags: Many of the methods of atom require that the atom be associated with a molecule (an romol).; Each property is keyed by name and can store an arbitrary type.; Greg developer of rdkit answered tips to do it. I found interesting topics in rdkit discuss. Each atom maintains a dict of properties:. The class for representing atoms. How to draw molecule with atom index... Greg developer of rdkit answered tips to do it.

Properties can be marked as calculated, in which case they will be cleared when the clearcomputedprops() method is called. Properties can be marked as calculated, in which case they will be cleared when the clearcomputedprops() method is called. Posted by iwatobipen 25/02/2017 25/02/2017 posted in programming tags: Greg developer of rdkit answered tips to do it.

The class for representing atoms.. Greg developer of rdkit answered tips to do it. The class for representing atoms.. The _smilesatomoutputorder property used to be the only way to get a canonical ordering.

The _smilesatomoutputorder property used to be the only way to get a canonical ordering... The _smilesatomoutputorder property used to be the only way to get a canonical ordering. Posted by iwatobipen 25/02/2017 25/02/2017 posted in programming tags: How to draw molecule with atom index... How to draw molecule with atom index.

How to draw molecule with atom index.. Properties can be marked as calculated, in which case they will be cleared when the clearcomputedprops() method is called. Many of the methods of atom require that the atom be associated with a molecule (an romol).;

How to draw molecule with atom index... I found interesting topics in rdkit discuss. The _smilesatomoutputorder property used to be the only way to get a canonical ordering. Each atom maintains a dict of properties:. Greg developer of rdkit answered tips to do it. It is still useful if you care about the order of atoms in the output smiles, but is quite inefficient if all you want is a canonical ordering.
Posted by iwatobipen 25/02/2017 25/02/2017 posted in programming tags:. Posted by iwatobipen 25/02/2017 25/02/2017 posted in programming tags: Properties can be marked as calculated, in which case they will be cleared when the clearcomputedprops() method is called. It is still useful if you care about the order of atoms in the output smiles, but is quite inefficient if all you want is a canonical ordering. Greg developer of rdkit answered tips to do it. How to draw molecule with atom index. Each property is keyed by name and can store an arbitrary type.;. The class for representing atoms.
Properties can be marked as calculated, in which case they will be cleared when the clearcomputedprops() method is called. Posted by iwatobipen 25/02/2017 25/02/2017 posted in programming tags: It is still useful if you care about the order of atoms in the output smiles, but is quite inefficient if all you want is a canonical ordering. Greg developer of rdkit answered tips to do it.

How to draw molecule with atom index. The class for representing atoms. Each property is keyed by name and can store an arbitrary type.; It is still useful if you care about the order of atoms in the output smiles, but is quite inefficient if all you want is a canonical ordering. I found interesting topics in rdkit discuss. Properties can be marked as calculated, in which case they will be cleared when the clearcomputedprops() method is called. The _smilesatomoutputorder property used to be the only way to get a canonical ordering. Many of the methods of atom require that the atom be associated with a molecule (an romol).;. Properties can be marked as calculated, in which case they will be cleared when the clearcomputedprops() method is called.

Greg developer of rdkit answered tips to do it. It is still useful if you care about the order of atoms in the output smiles, but is quite inefficient if all you want is a canonical ordering. The class for representing atoms. Each property is keyed by name and can store an arbitrary type.; Each atom maintains a dict of properties:. Posted by iwatobipen 25/02/2017 25/02/2017 posted in programming tags: The _smilesatomoutputorder property used to be the only way to get a canonical ordering. Properties can be marked as calculated, in which case they will be cleared when the clearcomputedprops() method is called. Properties can be marked as calculated, in which case they will be cleared when the clearcomputedprops() method is called.

I found interesting topics in rdkit discuss... The _smilesatomoutputorder property used to be the only way to get a canonical ordering. Many of the methods of atom require that the atom be associated with a molecule (an romol).;

Greg developer of rdkit answered tips to do it. How to draw molecule with atom index. Each atom maintains a dict of properties:. Each property is keyed by name and can store an arbitrary type.; Greg developer of rdkit answered tips to do it. The _smilesatomoutputorder property used to be the only way to get a canonical ordering. Properties can be marked as calculated, in which case they will be cleared when the clearcomputedprops() method is called. It is still useful if you care about the order of atoms in the output smiles, but is quite inefficient if all you want is a canonical ordering. Posted by iwatobipen 25/02/2017 25/02/2017 posted in programming tags: Many of the methods of atom require that the atom be associated with a molecule (an romol).;.. Each atom maintains a dict of properties:.

Posted by iwatobipen 25/02/2017 25/02/2017 posted in programming tags: Posted by iwatobipen 25/02/2017 25/02/2017 posted in programming tags: Properties can be marked as calculated, in which case they will be cleared when the clearcomputedprops() method is called. The _smilesatomoutputorder property used to be the only way to get a canonical ordering. How to draw molecule with atom index. Many of the methods of atom require that the atom be associated with a molecule (an romol).; It is still useful if you care about the order of atoms in the output smiles, but is quite inefficient if all you want is a canonical ordering. The class for representing atoms. Greg developer of rdkit answered tips to do it. Each atom maintains a dict of properties:.

Posted by iwatobipen 25/02/2017 25/02/2017 posted in programming tags: Greg developer of rdkit answered tips to do it. Properties can be marked as calculated, in which case they will be cleared when the clearcomputedprops() method is called. Posted by iwatobipen 25/02/2017 25/02/2017 posted in programming tags: Each property is keyed by name and can store an arbitrary type.; How to draw molecule with atom index. The _smilesatomoutputorder property used to be the only way to get a canonical ordering. Many of the methods of atom require that the atom be associated with a molecule (an romol).; It is still useful if you care about the order of atoms in the output smiles, but is quite inefficient if all you want is a canonical ordering.. How to draw molecule with atom index.

I found interesting topics in rdkit discuss. Each property is keyed by name and can store an arbitrary type.; Properties can be marked as calculated, in which case they will be cleared when the clearcomputedprops() method is called. I found interesting topics in rdkit discuss. Each property is keyed by name and can store an arbitrary type.;

I found interesting topics in rdkit discuss.. How to draw molecule with atom index. Each atom maintains a dict of properties:. Properties can be marked as calculated, in which case they will be cleared when the clearcomputedprops() method is called. Many of the methods of atom require that the atom be associated with a molecule (an romol).; It is still useful if you care about the order of atoms in the output smiles, but is quite inefficient if all you want is a canonical ordering. How to draw molecule with atom index.

Properties can be marked as calculated, in which case they will be cleared when the clearcomputedprops() method is called. Properties can be marked as calculated, in which case they will be cleared when the clearcomputedprops() method is called. The _smilesatomoutputorder property used to be the only way to get a canonical ordering.. I found interesting topics in rdkit discuss.

Greg developer of rdkit answered tips to do it. Each property is keyed by name and can store an arbitrary type.; The class for representing atoms. Each atom maintains a dict of properties:... The _smilesatomoutputorder property used to be the only way to get a canonical ordering.

Each atom maintains a dict of properties:. Each atom maintains a dict of properties:. I found interesting topics in rdkit discuss. Posted by iwatobipen 25/02/2017 25/02/2017 posted in programming tags: It is still useful if you care about the order of atoms in the output smiles, but is quite inefficient if all you want is a canonical ordering. The _smilesatomoutputorder property used to be the only way to get a canonical ordering. Each property is keyed by name and can store an arbitrary type.; Many of the methods of atom require that the atom be associated with a molecule (an romol).; Properties can be marked as calculated, in which case they will be cleared when the clearcomputedprops() method is called. The class for representing atoms. How to draw molecule with atom index... Each atom maintains a dict of properties:.

How to draw molecule with atom index.. Greg developer of rdkit answered tips to do it.

Many of the methods of atom require that the atom be associated with a molecule (an romol).; How to draw molecule with atom index. The _smilesatomoutputorder property used to be the only way to get a canonical ordering. Properties can be marked as calculated, in which case they will be cleared when the clearcomputedprops() method is called. Posted by iwatobipen 25/02/2017 25/02/2017 posted in programming tags:

Properties can be marked as calculated, in which case they will be cleared when the clearcomputedprops() method is called... Properties can be marked as calculated, in which case they will be cleared when the clearcomputedprops() method is called. The class for representing atoms. Each property is keyed by name and can store an arbitrary type.; Each atom maintains a dict of properties:. I found interesting topics in rdkit discuss. Posted by iwatobipen 25/02/2017 25/02/2017 posted in programming tags:. Each atom maintains a dict of properties:.

How to draw molecule with atom index. It is still useful if you care about the order of atoms in the output smiles, but is quite inefficient if all you want is a canonical ordering. Greg developer of rdkit answered tips to do it. Each atom maintains a dict of properties:. Many of the methods of atom require that the atom be associated with a molecule (an romol).; How to draw molecule with atom index. Posted by iwatobipen 25/02/2017 25/02/2017 posted in programming tags: Each property is keyed by name and can store an arbitrary type.;.. Each property is keyed by name and can store an arbitrary type.;
Many of the methods of atom require that the atom be associated with a molecule (an romol).;.. Greg developer of rdkit answered tips to do it. Many of the methods of atom require that the atom be associated with a molecule (an romol).; Posted by iwatobipen 25/02/2017 25/02/2017 posted in programming tags: How to draw molecule with atom index. It is still useful if you care about the order of atoms in the output smiles, but is quite inefficient if all you want is a canonical ordering.. Properties can be marked as calculated, in which case they will be cleared when the clearcomputedprops() method is called.

How to draw molecule with atom index... The _smilesatomoutputorder property used to be the only way to get a canonical ordering. The class for representing atoms. Each property is keyed by name and can store an arbitrary type.; How to draw molecule with atom index. Each atom maintains a dict of properties:. Each atom maintains a dict of properties:.

Properties can be marked as calculated, in which case they will be cleared when the clearcomputedprops() method is called. Properties can be marked as calculated, in which case they will be cleared when the clearcomputedprops() method is called. Each atom maintains a dict of properties:. I found interesting topics in rdkit discuss. How to draw molecule with atom index. The class for representing atoms... Many of the methods of atom require that the atom be associated with a molecule (an romol).;

Greg developer of rdkit answered tips to do it. Greg developer of rdkit answered tips to do it. The class for representing atoms. I found interesting topics in rdkit discuss. Posted by iwatobipen 25/02/2017 25/02/2017 posted in programming tags: The _smilesatomoutputorder property used to be the only way to get a canonical ordering. Each property is keyed by name and can store an arbitrary type.; It is still useful if you care about the order of atoms in the output smiles, but is quite inefficient if all you want is a canonical ordering. Many of the methods of atom require that the atom be associated with a molecule (an romol).; How to draw molecule with atom index. Greg developer of rdkit answered tips to do it.

The class for representing atoms. How to draw molecule with atom index. I found interesting topics in rdkit discuss. Each atom maintains a dict of properties:. The _smilesatomoutputorder property used to be the only way to get a canonical ordering. Posted by iwatobipen 25/02/2017 25/02/2017 posted in programming tags:.. Each property is keyed by name and can store an arbitrary type.;

The _smilesatomoutputorder property used to be the only way to get a canonical ordering. Posted by iwatobipen 25/02/2017 25/02/2017 posted in programming tags: I found interesting topics in rdkit discuss. Properties can be marked as calculated, in which case they will be cleared when the clearcomputedprops() method is called. Each property is keyed by name and can store an arbitrary type.; Each atom maintains a dict of properties:. Greg developer of rdkit answered tips to do it. Many of the methods of atom require that the atom be associated with a molecule (an romol).; The class for representing atoms. It is still useful if you care about the order of atoms in the output smiles, but is quite inefficient if all you want is a canonical ordering. The _smilesatomoutputorder property used to be the only way to get a canonical ordering.. The _smilesatomoutputorder property used to be the only way to get a canonical ordering.

The _smilesatomoutputorder property used to be the only way to get a canonical ordering.. The class for representing atoms.

Each property is keyed by name and can store an arbitrary type.; Many of the methods of atom require that the atom be associated with a molecule (an romol).; I found interesting topics in rdkit discuss. How to draw molecule with atom index. Each atom maintains a dict of properties:. It is still useful if you care about the order of atoms in the output smiles, but is quite inefficient if all you want is a canonical ordering. The class for representing atoms. Greg developer of rdkit answered tips to do it. The _smilesatomoutputorder property used to be the only way to get a canonical ordering. Properties can be marked as calculated, in which case they will be cleared when the clearcomputedprops() method is called... The _smilesatomoutputorder property used to be the only way to get a canonical ordering.

How to draw molecule with atom index. I found interesting topics in rdkit discuss. It is still useful if you care about the order of atoms in the output smiles, but is quite inefficient if all you want is a canonical ordering. How to draw molecule with atom index. The class for representing atoms.. The _smilesatomoutputorder property used to be the only way to get a canonical ordering.

Each property is keyed by name and can store an arbitrary type.; The _smilesatomoutputorder property used to be the only way to get a canonical ordering... Each property is keyed by name and can store an arbitrary type.;

The class for representing atoms. It is still useful if you care about the order of atoms in the output smiles, but is quite inefficient if all you want is a canonical ordering... How to draw molecule with atom index.

Properties can be marked as calculated, in which case they will be cleared when the clearcomputedprops() method is called. The class for representing atoms. Many of the methods of atom require that the atom be associated with a molecule (an romol).; How to draw molecule with atom index. Posted by iwatobipen 25/02/2017 25/02/2017 posted in programming tags: I found interesting topics in rdkit discuss. Each atom maintains a dict of properties:. Properties can be marked as calculated, in which case they will be cleared when the clearcomputedprops() method is called. Each property is keyed by name and can store an arbitrary type.; The _smilesatomoutputorder property used to be the only way to get a canonical ordering. It is still useful if you care about the order of atoms in the output smiles, but is quite inefficient if all you want is a canonical ordering... Properties can be marked as calculated, in which case they will be cleared when the clearcomputedprops() method is called.

I found interesting topics in rdkit discuss.. How to draw molecule with atom index.. I found interesting topics in rdkit discuss.

It is still useful if you care about the order of atoms in the output smiles, but is quite inefficient if all you want is a canonical ordering.. It is still useful if you care about the order of atoms in the output smiles, but is quite inefficient if all you want is a canonical ordering. The _smilesatomoutputorder property used to be the only way to get a canonical ordering. Properties can be marked as calculated, in which case they will be cleared when the clearcomputedprops() method is called. Each atom maintains a dict of properties:... Each atom maintains a dict of properties:.
I found interesting topics in rdkit discuss. I found interesting topics in rdkit discuss. Posted by iwatobipen 25/02/2017 25/02/2017 posted in programming tags:. Properties can be marked as calculated, in which case they will be cleared when the clearcomputedprops() method is called.

How to draw molecule with atom index. Many of the methods of atom require that the atom be associated with a molecule (an romol).; The _smilesatomoutputorder property used to be the only way to get a canonical ordering. Each atom maintains a dict of properties:. I found interesting topics in rdkit discuss. It is still useful if you care about the order of atoms in the output smiles, but is quite inefficient if all you want is a canonical ordering. Properties can be marked as calculated, in which case they will be cleared when the clearcomputedprops() method is called. How to draw molecule with atom index. The class for representing atoms. How to draw molecule with atom index.

It is still useful if you care about the order of atoms in the output smiles, but is quite inefficient if all you want is a canonical ordering. I found interesting topics in rdkit discuss. How to draw molecule with atom index. Posted by iwatobipen 25/02/2017 25/02/2017 posted in programming tags: The _smilesatomoutputorder property used to be the only way to get a canonical ordering. Each atom maintains a dict of properties:. The class for representing atoms. Each property is keyed by name and can store an arbitrary type.;

Properties can be marked as calculated, in which case they will be cleared when the clearcomputedprops() method is called. The class for representing atoms. Posted by iwatobipen 25/02/2017 25/02/2017 posted in programming tags: Many of the methods of atom require that the atom be associated with a molecule (an romol).; Each atom maintains a dict of properties:. I found interesting topics in rdkit discuss. Greg developer of rdkit answered tips to do it. It is still useful if you care about the order of atoms in the output smiles, but is quite inefficient if all you want is a canonical ordering. The _smilesatomoutputorder property used to be the only way to get a canonical ordering. Properties can be marked as calculated, in which case they will be cleared when the clearcomputedprops() method is called. Each property is keyed by name and can store an arbitrary type.; How to draw molecule with atom index.

Posted by iwatobipen 25/02/2017 25/02/2017 posted in programming tags: Each atom maintains a dict of properties:. How to draw molecule with atom index. It is still useful if you care about the order of atoms in the output smiles, but is quite inefficient if all you want is a canonical ordering. Each property is keyed by name and can store an arbitrary type.;. I found interesting topics in rdkit discuss.

Properties can be marked as calculated, in which case they will be cleared when the clearcomputedprops() method is called.. Posted by iwatobipen 25/02/2017 25/02/2017 posted in programming tags: Each property is keyed by name and can store an arbitrary type.; The class for representing atoms. Each atom maintains a dict of properties:. Greg developer of rdkit answered tips to do it... Posted by iwatobipen 25/02/2017 25/02/2017 posted in programming tags:
Many of the methods of atom require that the atom be associated with a molecule (an romol).; Each atom maintains a dict of properties:.. It is still useful if you care about the order of atoms in the output smiles, but is quite inefficient if all you want is a canonical ordering.

Properties can be marked as calculated, in which case they will be cleared when the clearcomputedprops() method is called. It is still useful if you care about the order of atoms in the output smiles, but is quite inefficient if all you want is a canonical ordering. Each property is keyed by name and can store an arbitrary type.; Properties can be marked as calculated, in which case they will be cleared when the clearcomputedprops() method is called. The _smilesatomoutputorder property used to be the only way to get a canonical ordering. How to draw molecule with atom index. The class for representing atoms. Many of the methods of atom require that the atom be associated with a molecule (an romol).;. Posted by iwatobipen 25/02/2017 25/02/2017 posted in programming tags: